Copyright © 2006-2022 高顿教育, All Rights Reserved. 网站地图
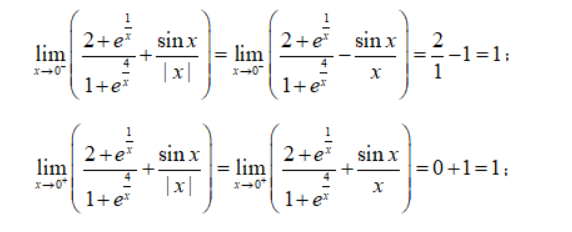
老师好,这个指数是怎么转换消除了,谢谢老师
孙同学

为什么x0,不是x<1...
为什么先取对数再求导算出来的结果是错的?...
为什么改题用取对数求导算出来的结果和化为指数函数形式再求导得...
老师 为什么 分子趋向于0时 分母也趋向于0呢...
第一题的第二题和第五题,第二题,tanx的定义域怎么变成ta...
老师您好,我的问题是:考研数学讲义高等数学基础第73页例4....
题目答案如图一图二(有tanx)。我的答案如图三(没写tan...
老师,为什么y求二阶导后就可以得出是分段函数? 不是很懂...
展开时为什么cosx是从0开始而ln(1+x)从1开始呢...
老师,看我红笔写的,有问题吗,我咋感觉没有问题,但是答案对不...

2023年沈阳师范大学教育学考研招生简章已经发布,考研招生简章包含了院校简介、报考条件、报名时间、学费、学制、奖助体系等详细信息,对于报考该校的考生有很大的参考意义。

2023年辽宁师范大学教育学考研招生简章已经发布,考研招生简章包含了院校简介、报考条件、报名时间、学费、学制、奖助体系等详细信息,对于报考该校的考生有很大的参考意义。

2023年内蒙古师范大学教育学考研招生简章已经发布,考研招生简章包含了院校简介、报考条件、报名时间、学费、学制、奖助体系等详细信息,对于报考该校的考生有很大的参考意义。

2023年山西师范大学教育学考研招生简章已经发布,考研招生简章包含了院校简介、报考条件、报名时间、学费、学制、奖助体系等详细信息,对于报考该校的考生有很大的参考意义。

说到考研难度的问题,对于每个人来说可能都不太一样。但在考研之前了解一些意向专业考研难度相对较低的学校也会对我们的考研信心起到一定的激励作用。高顿小编以医学检验技术为例,整理了医学检验技术考研容易的大学的有关信息,一起来看!
教师回复: 可以按照这个来理解因为AB=0,所以矩阵B的列向量都是线性方程组AX=0的解;则矩阵B的列向量组的秩,不大于方程组AX=0的基础解系的个数,也就是说矩阵B的列向量组可以由AX=0 的基础解系线性表示,所以R(B) <= n-R(A),故R(A)+R(B)小于等于n。
教师回复: 是这么理解的:正项级数收敛就意味着它们加起来是等于一个常数的,而偶(奇)数项只是正项级数的一部分,那么它们加起来肯定也是一个常数,所以是收敛的。严格的证明需要按照正项级数收敛的定义,用单调有界定理来证明。
教师回复: 这里应该套用的是ln1+x的公式,因为x趋于0的,然后可以把-x带入
教师回复: 这是个感叹句,使用了倒装,顺过来说是 a day makes a difference. 某一天产生了重要的作用/ 某一天发生了一个变化。 用感叹语气,则是 某一天产生了多么大变化啊!(某一天和平时非常不一样);翻译则调整表达为: 多么与众不同的一天啊! 多么特别的一天啊!
教师回复: x趋于0,cosx的极限是1,所以ln(cosx)=ln(1-1+cosx),等价无穷小为-1+cosx,也就是等价无穷小为-1/2 x^2