Copyright © 2006-2022 高顿教育, All Rights Reserved. 网站地图
见图
张同学

(6)不知道泰勒公式怎么展开推出第三个等号后面的式子...
老师请问这两题的可逆线性变换是什么意思呢?解题思路是什么,没...
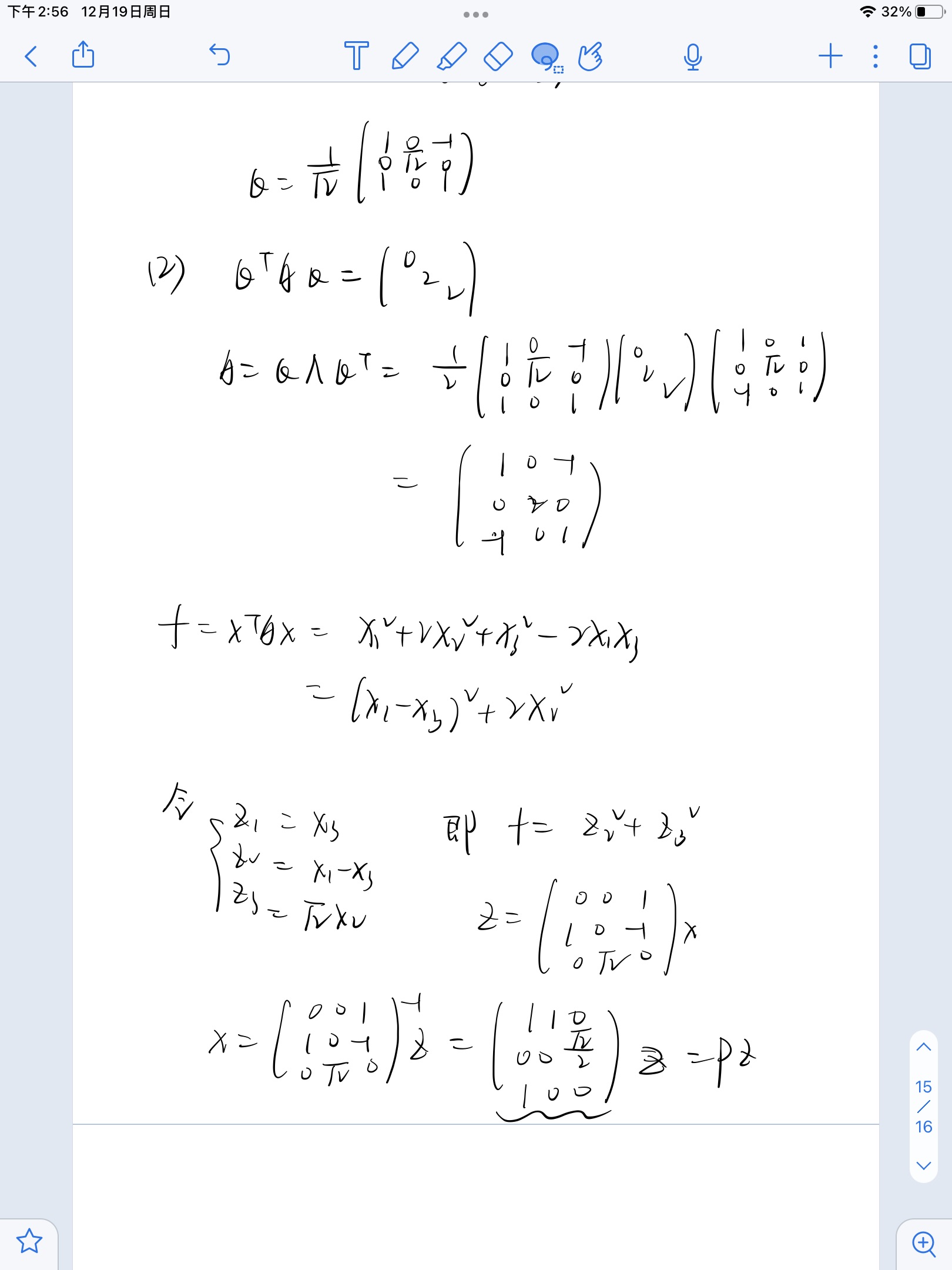
如图,望老师解答...
第七题r(A)等于2为什么α1和α2就线性无关了?...
老师您好,莱布尼茨公式求高阶导数有点疑问 ...
讲义16页这道题的解法和老师的不一样,哪里错了呢?...
老师您好,我想问一下这道题的详细解答过程,谢谢您...
老师,想问一下,为什么 g(x) 不等于0,可以推出 c1,...
第三怎么写,啥是区间在线公式...
第七题为什么不能直接算出等于π/2而是求导呢?...

云南财经大学身为B区双非财经类类院校,本身专业性尚可,但是受限于地区发展,因此除了西南地区之外,该校在全国的整体知名度较低,不过在B区里算是比较优秀的财经类院校。近两年一志愿上线人数寥寥无几,大部分均为调剂上岸。

云南大学提供报录比,2021年88人报考,66人上线,录取43人。云大其他专业有压分的传闻,但是国商目前看来并不压分,专业课平均分能给到115左右。

贵州财经大学身为B区双非财经类类院校,情况有点像云南财经大学,本身专业性尚可,但是受限于地区发展,因此除了西南地区之外,该校在全国的整体知名度较低,不过在B区里算是比较优秀的财经类院校。

西南财经大学2021年国际商务报考人数707,统考录取人数117。相比于西南财其他专业,国际商务的复试线相对较低,整体刷人也不算多,性价比相对较高。

重庆工商大学作为经管类双非院校,专业度较好。2021年及之前的分数要求均为国家线左右,但是22年开始分数要求上升,竞争逐渐增大,因此性价比相对一般。学校未公布单科成绩,所以无法评价专业课考查难度,但是考察范围较小。
教师回复: 可以按照这个来理解因为AB=0,所以矩阵B的列向量都是线性方程组AX=0的解;则矩阵B的列向量组的秩,不大于方程组AX=0的基础解系的个数,也就是说矩阵B的列向量组可以由AX=0 的基础解系线性表示,所以R(B) <= n-R(A),故R(A)+R(B)小于等于n。
教师回复: 是这么理解的:正项级数收敛就意味着它们加起来是等于一个常数的,而偶(奇)数项只是正项级数的一部分,那么它们加起来肯定也是一个常数,所以是收敛的。严格的证明需要按照正项级数收敛的定义,用单调有界定理来证明。
教师回复: 这里应该套用的是ln1+x的公式,因为x趋于0的,然后可以把-x带入
教师回复: 这是个感叹句,使用了倒装,顺过来说是 a day makes a difference. 某一天产生了重要的作用/ 某一天发生了一个变化。 用感叹语气,则是 某一天产生了多么大变化啊!(某一天和平时非常不一样);翻译则调整表达为: 多么与众不同的一天啊! 多么特别的一天啊!
教师回复: x趋于0,cosx的极限是1,所以ln(cosx)=ln(1-1+cosx),等价无穷小为-1+cosx,也就是等价无穷小为-1/2 x^2