Copyright © 2006-2022 高顿教育, All Rights Reserved. 网站地图
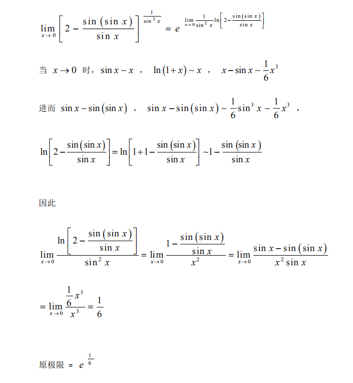
sin(sinx)/sinx 为什么可以替换为1,是使用抓大头的方法吗?老师说这个题相当于1的无穷次幂,我不明白为什么sin(sinx)/sinx相当于1
王同学你好


为什么x0,不是x<1...
为什么先取对数再求导算出来的结果是错的?...
为什么改题用取对数求导算出来的结果和化为指数函数形式再求导得...
老师 为什么 分子趋向于0时 分母也趋向于0呢...
第一题的第二题和第五题,第二题,tanx的定义域怎么变成ta...
老师您好,我的问题是:考研数学讲义高等数学基础第73页例4....
题目答案如图一图二(有tanx)。我的答案如图三(没写tan...
老师,为什么y求二阶导后就可以得出是分段函数? 不是很懂...
展开时为什么cosx是从0开始而ln(1+x)从1开始呢...
老师,看我红笔写的,有问题吗,我咋感觉没有问题,但是答案对不...

2022中国科学技术大学考研复试分数线已公布,这是考生们参考的重要信息之一。其中理学学科门类的分数线为310分。为了大家更好的了解该院校,小编为大家整理了2022中国科学技术大学考研复试分数线的详细内容,一起来看看吧。

2022安徽大学考研复试分数线已公布,这是考生们参考的重要信息之一。其中法学总分不低于362分,初试单科成绩达到国家划定A类线基本要求。为了大家更好的了解该院校,小编为大家整理了2022安徽大学考研复试分数线的详细内容,一起来看看吧。

2022温州大学考研复试分数线已公布,这是考生们参考的重要信息之一。其中最高分为课程与教学论学科分数线为415分。为了大家更好的了解该院校,小编为大家整理了2022温州大学考研复试分数线的详细内容,一起来看看吧。

2022宁波大学考研复试分数线已公布,这是考生们参考的重要信息之一。按照2022年教育部公布的一类地区(A类考生)复试分数线执行,全日制与非全日制执行相同复试分数线。为了大家更好的了解该院校,小编为大家整理了2022宁波大学考研复试分数线的详细内容,一起来看看吧。

在考研中,数学分为数学一、数学二、数学三,它们针对专业不同、考试难度不同、考试内容也有差异。从整体上来说,考研数学一的考试难度是最大的,适用于工学中对数学较高的学科。为了大家更好的了解,小编为大家整理了考研数学一二三区别的详细内容,一起来看看吧。
教师回复: 可以按照这个来理解因为AB=0,所以矩阵B的列向量都是线性方程组AX=0的解;则矩阵B的列向量组的秩,不大于方程组AX=0的基础解系的个数,也就是说矩阵B的列向量组可以由AX=0 的基础解系线性表示,所以R(B) <= n-R(A),故R(A)+R(B)小于等于n。
教师回复: 是这么理解的:正项级数收敛就意味着它们加起来是等于一个常数的,而偶(奇)数项只是正项级数的一部分,那么它们加起来肯定也是一个常数,所以是收敛的。严格的证明需要按照正项级数收敛的定义,用单调有界定理来证明。
教师回复: 这里应该套用的是ln1+x的公式,因为x趋于0的,然后可以把-x带入
教师回复: 这是个感叹句,使用了倒装,顺过来说是 a day makes a difference. 某一天产生了重要的作用/ 某一天发生了一个变化。 用感叹语气,则是 某一天产生了多么大变化啊!(某一天和平时非常不一样);翻译则调整表达为: 多么与众不同的一天啊! 多么特别的一天啊!
教师回复: x趋于0,cosx的极限是1,所以ln(cosx)=ln(1-1+cosx),等价无穷小为-1+cosx,也就是等价无穷小为-1/2 x^2