Copyright © 2006-2022 高顿教育, All Rights Reserved. 网站地图
老师我想问下这道题为什么不能直接分类,然后代入公式呢?
星同学解析见下图


既然已经确定获胜方在结束句获胜,那么概率就为1啊 为什么还要...
老师,我想问从红线开始,之后的步骤都是怎么来的呢?...
老师您好,请问sin这个地方是怎么换出来的呢...
老师好,这是2012年数三的题目,第10题,我再算了一遍,结...
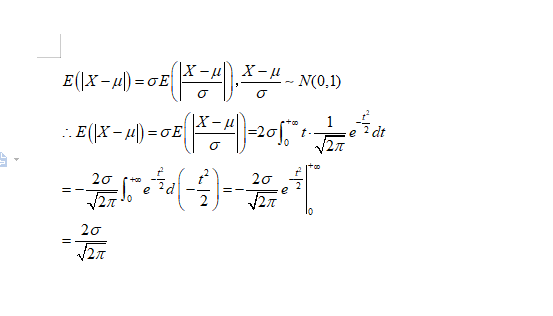
老师,这个第九题为什么还给了X的概率密度?X不是标准正太分布...
老师这个第二问能用卷积公式吗??是怎么做的?...
老师请问数三的范围是什么?麻烦详尽一些,数一数二才需要考的内...
老师您好 我想问一下第七题 这里写的一阶微分的不变性指的是什...
老师好,看看我哪里错了,讲课老师给的答案最后一步有一个tan...
老师您好 第五六题该怎么看,为什么第六题最后一项分子不是Cx...

目前,2022湖北美术学院考研复试分数线已公布,这是考生们参考的重要信息之一。其中,学术学位和专业学位的分数线都为361分,退役大学生士兵专项计划分数线为353分。为了大家更好的了解,小编为大家整理了2022湖北美术学院考研复试分数线的详细内容,一起来看看吧。

沈阳化工大学是一所理工类的双非院校,是辽宁省“双一流”重点建设高校,该院校分数要求低,有调剂名额,其中085404计算机技术招生录取人数较多,比较推荐想要提升学历的同学报考,整体难度不大。

目前,2022中南财经政法大学新闻与文化传播学院考研复试分数线已公布,这是考生们参考的重要信息之一。其中,新闻与传播专业复试分数线为386分。为了大家更好的了解,小编为大家整理了2022中南财经政法大学新传考研复试分数线的详细内容,一起来看看吧。

目前,2022中南财经政法大学经济学院考研复试分数线已公布,这是考生们参考的重要信息之一。为了大家更好的了解,小编为大家整理了2022中南财经政法大学经济学院考研复试分数线的详细内容,一起来看看吧。

目前,2022武汉纺织大学考研复试分数线已公布,这是考生们参考的重要信息之一。其中会计专硕复试分数线为200分。为了大家更好的了解,小编为大家整理了2022武汉纺织大学考研复试分数线的详细内容,一起来看看吧。
教师回复: 是这么理解的:正项级数收敛就意味着它们加起来是等于一个常数的,而偶(奇)数项只是正项级数的一部分,那么它们加起来肯定也是一个常数,所以是收敛的。严格的证明需要按照正项级数收敛的定义,用单调有界定理来证明。
教师回复: 可以按照这个来理解因为AB=0,所以矩阵B的列向量都是线性方程组AX=0的解;则矩阵B的列向量组的秩,不大于方程组AX=0的基础解系的个数,也就是说矩阵B的列向量组可以由AX=0 的基础解系线性表示,所以R(B) <= n-R(A),故R(A)+R(B)小于等于n。
教师回复: 这里应该套用的是ln1+x的公式,因为x趋于0的,然后可以把-x带入
教师回复: 这是个感叹句,使用了倒装,顺过来说是 a day makes a difference. 某一天产生了重要的作用/ 某一天发生了一个变化。 用感叹语气,则是 某一天产生了多么大变化啊!(某一天和平时非常不一样);翻译则调整表达为: 多么与众不同的一天啊! 多么特别的一天啊!
教师回复: x趋于0,cosx的极限是1,所以ln(cosx)=ln(1-1+cosx),等价无穷小为-1+cosx,也就是等价无穷小为-1/2 x^2