Copyright © 2006-2022 高顿教育, All Rights Reserved. 网站地图
老师,第三题的第二问是求特征值 特征向量 标准化来算吗?
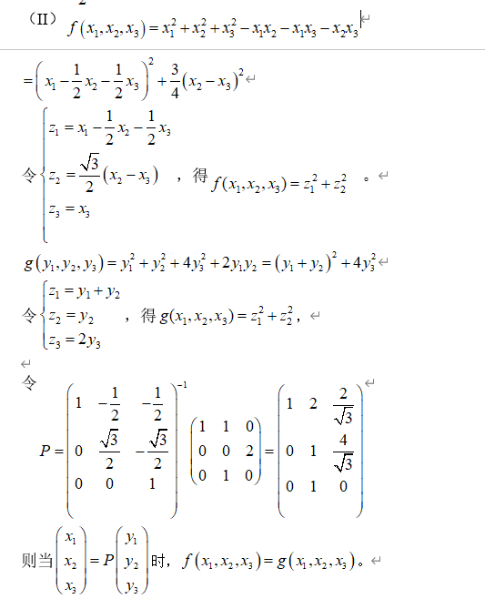
c同学你这样也可以,但是不需要标准化了,或者用如图的配方法

(6)不知道泰勒公式怎么展开推出第三个等号后面的式子...
老师请问这两题的可逆线性变换是什么意思呢?解题思路是什么,没...
如图,望老师解答...
第七题r(A)等于2为什么α1和α2就线性无关了?...
老师您好,莱布尼茨公式求高阶导数有点疑问 ...
讲义16页这道题的解法和老师的不一样,哪里错了呢?...
老师您好,我想问一下这道题的详细解答过程,谢谢您...
老师,想问一下,为什么 g(x) 不等于0,可以推出 c1,...
第三怎么写,啥是区间在线公式...
第七题为什么不能直接算出等于π/2而是求导呢?...

对重庆理工大学“退役大学生士兵”专项计划硕士研究生感兴趣的同学,想了解其具体的报名要求,那就来看看高顿小编整理的2023重庆理工大学“退役大学生士兵”专项计划考研报名要求的相关内容,具体如下:

2022浙江大学考研复试分数线已经公布,这是考生们参考的重要信息之一。其中最高分为经济学395分,最低分为工商管理180分。为了大家更好的了解该院校,小编为大家整理了2022浙江大学考研复试分数线的详细内容,一起来看看吧。

2022中国地质大学(北京)考研复试分数线已经公布,这是考研学生们参考的重要信息之一。其中2022中国地质大学(北京)最高分数线为设计学和艺术设计380分。为了大家更好的了解该学校,小编为大家整理了2022中国地质大学(北京)考研复试分数线的详细内容,一起来看看吧。

2022长沙理工大学考研复试分数线已经公布,这是考生们参考的重要信息之一。其中会计专硕的复试分数线为200分。为了大家更好的了解该院校,小编为大家整理了2022长沙理工大学考研复试分数线的详细内容,一起来看看吧。

2022中国海洋大学考研复试分数线已经公布,这是考生们参考的重要信息之一。其中最低分数线为260分。为了大家更好的了解该院校,小编为大家整理了2022中国海洋大学考研复试分数线的详细内容,一起来看看吧。
教师回复: 可以按照这个来理解因为AB=0,所以矩阵B的列向量都是线性方程组AX=0的解;则矩阵B的列向量组的秩,不大于方程组AX=0的基础解系的个数,也就是说矩阵B的列向量组可以由AX=0 的基础解系线性表示,所以R(B) <= n-R(A),故R(A)+R(B)小于等于n。
教师回复: 是这么理解的:正项级数收敛就意味着它们加起来是等于一个常数的,而偶(奇)数项只是正项级数的一部分,那么它们加起来肯定也是一个常数,所以是收敛的。严格的证明需要按照正项级数收敛的定义,用单调有界定理来证明。
教师回复: 这里应该套用的是ln1+x的公式,因为x趋于0的,然后可以把-x带入
教师回复: 这是个感叹句,使用了倒装,顺过来说是 a day makes a difference. 某一天产生了重要的作用/ 某一天发生了一个变化。 用感叹语气,则是 某一天产生了多么大变化啊!(某一天和平时非常不一样);翻译则调整表达为: 多么与众不同的一天啊! 多么特别的一天啊!
教师回复: x趋于0,cosx的极限是1,所以ln(cosx)=ln(1-1+cosx),等价无穷小为-1+cosx,也就是等价无穷小为-1/2 x^2