Copyright © 2006-2025 高顿教育, All Rights Reserved. 网站地图
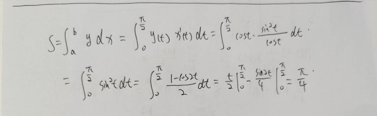
老师,X0Y0为啥那样取呢,第二问面积那个积分式子咋出来的呀
Q同学x0,y0,我没有明白你想表达的意思是?求面积是把定积分转化成参数方程计算了,你可以认为是做了一个变量代换计算了.不懂可以再问哈,加油



为什么x0,不是x<1...
为什么先取对数再求导算出来的结果是错的?...
为什么改题用取对数求导算出来的结果和化为指数函数形式再求导得...
老师 为什么 分子趋向于0时 分母也趋向于0呢...
第一题的第二题和第五题,第二题,tanx的定义域怎么变成ta...
老师您好,我的问题是:考研数学讲义高等数学基础第73页例4....
题目答案如图一图二(有tanx)。我的答案如图三(没写tan...
老师,为什么y求二阶导后就可以得出是分段函数? 不是很懂...
展开时为什么cosx是从0开始而ln(1+x)从1开始呢...
老师,看我红笔写的,有问题吗,我咋感觉没有问题,但是答案对不...

在考研过程中,了解所报考专业的考试科目和考试大纲是非常重要的一步。那么,考研专业课大纲可以在哪里查看呢?考研专业课大纲可以通过院校官方网站、教育部门网站、考研辅导书籍、网络资源等方式查看。为了大家更好的了解,小编为大家整理了考研专业课大纲可以在哪里查看的详细内容,一起来看看吧!

河北大学宪法学与行政法学专业考研能调剂吗?调剂多少人?2023河北大学宪法学与行政法学考研调剂6人,具体内容如下,供各位考生参考!

2024陕西师范大学学科英语考研官方参考书目公布啦!2024陕西师范大学学科英语考研科目有四门:①101思想政治理论②204英语(二)③333教育综合④908专业基础。政治和英语二是公共课,属于全国统考;333+908是专业课,由学校自主命题。具体详情,快随小熊学姐一起来看看吧!


2024东北师范大学学科英语考研参考书目火热出炉!2024东北师范大学学科英语主要考:政治、英语二、333教育综合、844英语教学专业基础四门考试科目,政治和英语二是公共课,属于全国统考;333+844是专业课,由学校自主命题。两门公共课总分100分,55分过线。两门专业课总分150分,90分过线。专业课决定你能不能通过初试,公共课决定你的名次先后,所以每个科目都要认真对待。
教师回复: 是这么理解的:正项级数收敛就意味着它们加起来是等于一个常数的,而偶(奇)数项只是正项级数的一部分,那么它们加起来肯定也是一个常数,所以是收敛的。严格的证明需要按照正项级数收敛的定义,用单调有界定理来证明。
教师回复: 这里应该套用的是ln1+x的公式,因为x趋于0的,然后可以把-x带入
教师回复: 可以按照这个来理解因为AB=0,所以矩阵B的列向量都是线性方程组AX=0的解;则矩阵B的列向量组的秩,不大于方程组AX=0的基础解系的个数,也就是说矩阵B的列向量组可以由AX=0 的基础解系线性表示,所以R(B) <= n-R(A),故R(A)+R(B)小于等于n。
教师回复: x趋于0,cosx的极限是1,所以ln(cosx)=ln(1-1+cosx),等价无穷小为-1+cosx,也就是等价无穷小为-1/2 x^2
教师回复: 这是个感叹句,使用了倒装,顺过来说是 a day makes a difference. 某一天产生了重要的作用/ 某一天发生了一个变化。 用感叹语气,则是 某一天产生了多么大变化啊!(某一天和平时非常不一样);翻译则调整表达为: 多么与众不同的一天啊! 多么特别的一天啊!