Copyright © 2006-2022 高顿教育, All Rights Reserved. 网站地图
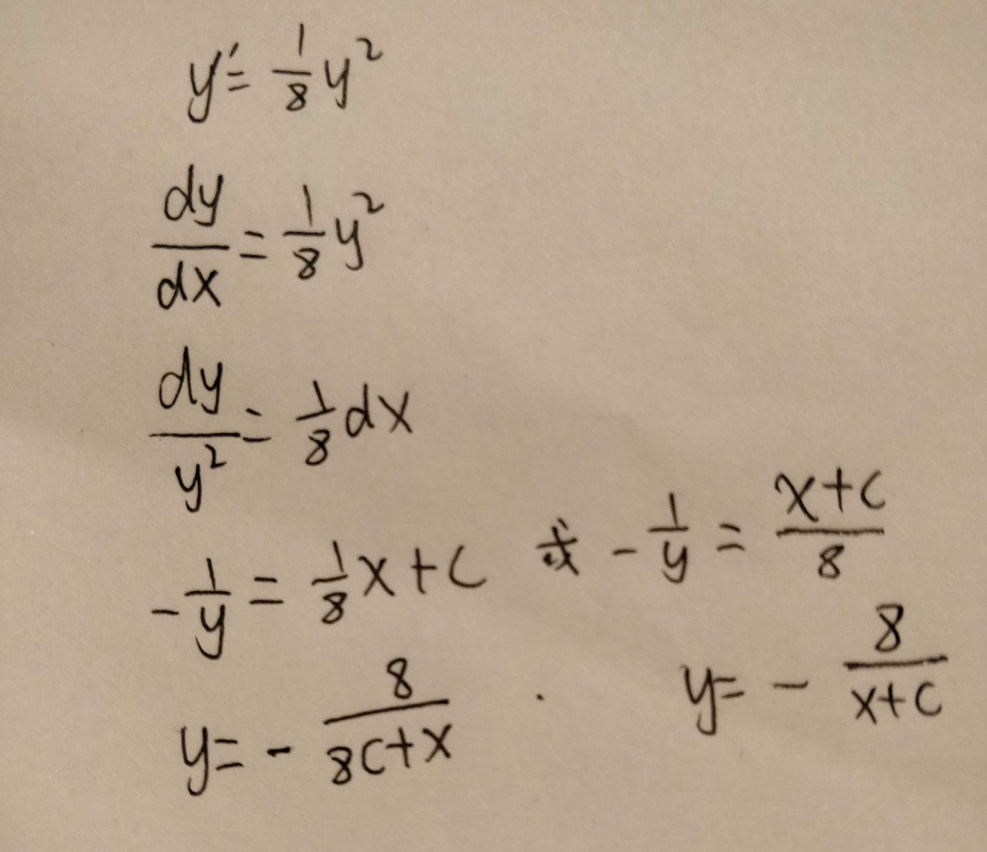
老师你好哦,这题的常数应该放在哪里吖?
呢同学这个C放在哪并不是固定的,只要满足方程即可,但不管C放在哪,代入特解后,解出C后得到的函数应该都是一样的,如下图两种形式都是可以的,

为什么x0,不是x<1...
为什么先取对数再求导算出来的结果是错的?...
为什么改题用取对数求导算出来的结果和化为指数函数形式再求导得...
老师 为什么 分子趋向于0时 分母也趋向于0呢...
第一题的第二题和第五题,第二题,tanx的定义域怎么变成ta...
老师您好,我的问题是:考研数学讲义高等数学基础第73页例4....
题目答案如图一图二(有tanx)。我的答案如图三(没写tan...
老师,为什么y求二阶导后就可以得出是分段函数? 不是很懂...
展开时为什么cosx是从0开始而ln(1+x)从1开始呢...
老师,看我红笔写的,有问题吗,我咋感觉没有问题,但是答案对不...

2022湖南师范大学考研复试分数线已公布,这是考生们参考的重要信息之一。各二级招生单位在《2022年全国硕士研究生招生考试考生进入复试的初试成绩基本要求》A类地区(以下简称“国家分数线”)对应的初试成绩基本要求上,确定并发布各专业复试成绩要求。为了大家更好的了解,小编为大家整理了2022湖南师范大学考研复试分数线的详细内容,一起来看看吧。

2022湖南中医药大学考研复试分数线已公布,这是考生们参考的重要信息之一。最高分为中医外科学、护理学、中医内科学等专业360分。为了大家更好的了解,小编为大家整理了2022湖南中医药大学考研复试分数线的详细内容,一起来看看吧。

2022湖南农业大学考研复试分数线已公布,这是考生们参考的重要信息之一。招生学科根据教育部公布的国家最低录取分数线的基本要求,结合生源和招生计划情况,自主确定本学院考生进入复试的初试成绩要求。为了大家更好的了解,小编为大家整理了2022湖南农业大学考研复试分数线的详细内容,一起来看看吧。

2022湖南科技大学考研复试分数线已公布,这是考生们参考的重要信息之一。其中会计专业的复试分数线为202分。为了大家更好的了解,小编为大家整理了2022湖南科技大学考研复试分数线的详细内容,一起来看看吧。

2022湖南大学考研复试分数线已公布,这是考生们参考的重要信息之一。其中最高分为艺术学硕士分数线为390分。为了大家更好的了解,小编为大家整理了2022湖南大学考研复试分数线的详细内容,一起来看看吧。
教师回复: 是这么理解的:正项级数收敛就意味着它们加起来是等于一个常数的,而偶(奇)数项只是正项级数的一部分,那么它们加起来肯定也是一个常数,所以是收敛的。严格的证明需要按照正项级数收敛的定义,用单调有界定理来证明。
教师回复: 可以按照这个来理解因为AB=0,所以矩阵B的列向量都是线性方程组AX=0的解;则矩阵B的列向量组的秩,不大于方程组AX=0的基础解系的个数,也就是说矩阵B的列向量组可以由AX=0 的基础解系线性表示,所以R(B) <= n-R(A),故R(A)+R(B)小于等于n。
教师回复: 这里应该套用的是ln1+x的公式,因为x趋于0的,然后可以把-x带入
教师回复: 这是个感叹句,使用了倒装,顺过来说是 a day makes a difference. 某一天产生了重要的作用/ 某一天发生了一个变化。 用感叹语气,则是 某一天产生了多么大变化啊!(某一天和平时非常不一样);翻译则调整表达为: 多么与众不同的一天啊! 多么特别的一天啊!
教师回复: x趋于0,cosx的极限是1,所以ln(cosx)=ln(1-1+cosx),等价无穷小为-1+cosx,也就是等价无穷小为-1/2 x^2