考研数学中,这题第二问用卷积怎么写?

第二问用卷积怎么写?

冬同学
2021-10-27 10:30:42
阅读量 217
  • 老师 高顿财经研究院老师
    高顿为您提供一对一解答服务,关于考研数学中,这题第二问用卷积怎么写?我的回答如下:

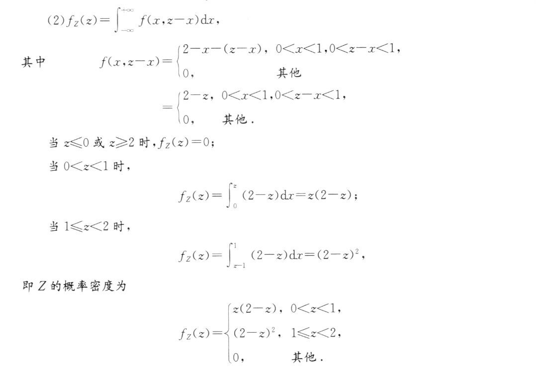
    你好,如图


    以上是关于考研,考研数学相关问题的解答,希望对你有所帮助,如有其它疑问想快速被解答可在线咨询或添加老师微信。
    2021-10-28 00:11:46
  • 收起
    冬同学学员追问
    为什么要分0-1,1-2区间呢?然后1-2时,为什么被积函数的下限是z-1?为啥不是1-2?
    2021-10-30 09:09:07
  • 老师 高顿财经研究院老师

    你好,如图看一下能否理解

    2021-10-30 12:43:25
  • 收起
    冬同学学员追问
    可以发语音吗?后面写的有点乱看得不是很清楚,尤其是z的区间划分那块,麻烦讲的清楚一点,我对这块儿不熟
    2021-10-31 11:50:17
  • 老师 高顿财经研究院老师

    你好,我现在不太方便发语音,你看一下我现在写的可以理解不

    2021-10-31 15:08:04
  • 收起
    冬同学学员追问
    我不懂为什么要分0小于z-x小于1和z-x小于1,这不是一样的吗?只不过一个还有0最为限制,另一个没有而已,而且为啥要讨论z-x小于0,题中说的不就是0小于z-x小于1吗?
    2021-11-01 09:22:03
  • 老师 高顿财经研究院老师
    2021-11-01 09:28:01
加载更多
版权声明:本问答内容由高顿学员及老师原创,任何个人和或机构在未经过同意的情况下,不得擅自转载或大段引用用于商业用途!部分内容由用户自主上传,未做人工编辑处理,也不承担相关法律责任,如果您发现有涉嫌版权的内容,欢迎提供相关证据并反馈至邮箱:fankui@gaodun.com ,工作人员会在4个工作日回复,一经查实,本站将立刻删除涉嫌侵权内容。

其他回答

  • W同学
    高中数学研究课题《用向量方法解决数学问题》怎么写
    • 王老师
      高中阶段,向量可以解决下列数学问题
      1.立体几何中的直线和平面所成的角,二面角的平面角大小
      2.利用向量的模长公式求线段的长度
  • 巫同学
    考研数学二重积分考多少分
    • 赵老师
      二重积分计算copy是数一二三必考题型,数二数三基本每年必考一个大题,此类题目难度属于中等偏下,但需要注意坐标系的选择及简化运算,同时应注意极坐标系下二重积分计算问题与微分方程一起出题。
      考研数学二:
      高等数学(或微积分)78%:函数、极限、连续、一元函数微积分学、常微分方程。
      线性代数22%:行列式、矩阵、向量、线性方程组、矩阵的特征值和特征向量。
  • 三同学
    今年考研缺考,弃考,对以后考研评卷有什么影响吗?第二天评卷老师会估计不改你的卷子不?
    • 刘老师
      考研去年弃考了。今年做了比较充分的准备,想要继续考研。请问去年弃考影响我今年报名考试吗? 只要不是作弊,就没有什么影响,放心考吧! 另外不知道
  • 佳同学
    shreve的随机金融分析第二卷需要什么数学基础
    • P老师
      看你是分析哪方面了,

      分析股票数学要求不高
      债券要就较高
      衍生品 期货之类要求很高

      上了大学你就知道,高中数学就是幼儿园水平
  • 张同学
    医学考研问题
    • 习老师
      1.是的,医学生的研究生考试只能选报一个志愿,即一个学校的一个专业!
      2.考研的西医综合是全国统一考试,包括单选(a型和b型)及多选。
      3.医学生考研的初试包括政治,英语,西医综合,都是全国统一出题。
      4.初试的分数国家会划定一个国家线,但是全国有34所自主划线的学校,这些学校都是名校,所划的复试线也比国家线高!有一定难度!
      5.初试的成绩会计入最后总成绩,但和复试所占比例不同,现在很多学校已经在逐步提高初试所占的比重,像复旦这些名校!就是这样!复试的通过率很难说!
      6.目前医学生考研压力很大,竞争也很激烈!
      7.政治试卷满分100分,分单选、多选和论述!选择题占45分,论述题占55分。英语试卷满分也100分,分英语知识运用,就是完形填空(10分),阅读理解(a节就是通常意义上讲的那种,共4篇文章,每篇后面5道选择,共40分;b节是新题型,包括7选5,归纳大意等,共10分;c节是翻译,共5句话,10分)最后还有一篇小作文(书信)和一篇大作文(以图表作文为主)。
相关问题 相关文章 其他人都在看
  • 2023艺术学专业考研分数线是多少?附近五年复试分数线

    艺术学考研复试分数线是多少?22年艺术学复试分数线是361,不同学校的分数线会有所不同,想报考艺术学专业的同学可以看看报考院校给出的往年复试分数线,学姐也整理了近五年艺术学的国家分数线,希望可以给大家一些参考。 一、什么是艺术学? 所谓艺术学,通常意义上是指研究艺术整体的科学,即艺术学,是指系统性的研究关于艺术的各种问题的科学。进一步讲,艺术学是研究艺术性质、目的、作用任务和方法,它是带有理论性和学术性的成为有系统知识的人文科学。她包含美术学、设计学、音乐学、戏剧学、电影学、舞蹈学等专业。 二、艺术学考研国家线汇总(一区) 年份 学硕/专硕 一区/二区 门类/专业 总分 满分=100 满分100 2022 学术学位 一区 艺术学 361 40 60 2021 学术学位 一区 艺术学 346 38 57 2020 学术学位 一区 艺术学 347 38 57 2019 学术学

    2022-07-05 10:30:14
  • 19级考研是22还是23?19级考研是22年

    首先需要了解一下自己专业历年的考研情况,包括难度,上线率,各个心仪学校的专业课考试科目,题型等等。19级开学就大三了,专业课的学习也进入重点阶段,需要兼顾。

    2022-07-05 10:29:03
  • 199综合管理类联考考研大纲有哪些内容

    综合能力考试是为高等院校和科研院所招收管理类专业学位硕士研究生而设置的具有选拔性质的全国联考科目,其目的是科学、公平、有效地测试考生是否具备攻读专业学位所必须的基本素质、一般能力和培养潜能,评价的标准是高等学校本科毕业生所能达到的及格或及格以上的水平,以利于各高等院校和科研院所在专业上择优选拔,确保专业学位硕士研究生的招生质量。

    2022-07-05 10:25:11
  • 中国医药工业研究总院2023年考研自命题科目考试大纲:生药物分析学专业基础有机化学

    中国医药工业研究总院2023年考研自命题科目考试大纲已经发布,各位同学注意及时关注相关信息。

    2022-07-05 10:25:02
  • 中国艺术研究院在职研究生报考条件介绍!考研必看

    中国艺术研究院在职研究生报考条件有多项内容。中国艺术研究院在职研究生是很多艺术领域在职人士报考的选择,在业界有着较大影响力,下面就让小编为大家介绍中国艺术研究院在职研究生报考条件吧。

    2022-07-05 10:23:41
精选问答
我也要提问老师
手机注册
选择感兴趣的项目,找到您想看的问答
金融类
ACCA
证券从业
银行从业
期货从业
税务师
资产评估师
基金从业
国内证书
CPA
会计从业
初级会计职称
中级会计职称
中级经济师
初级经济师
其它
考研