Copyright © 2006-2023 高顿教育, All Rights Reserved. 网站地图
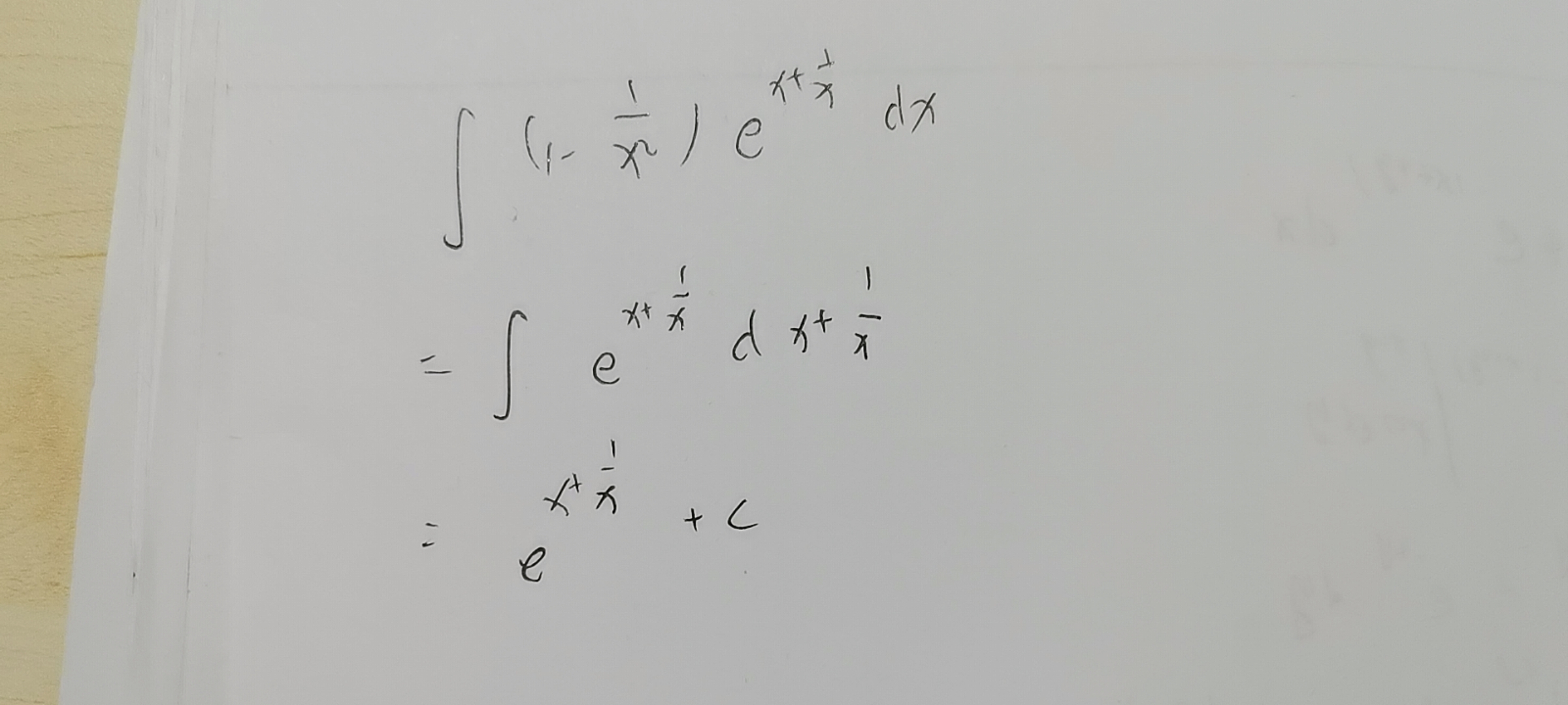
这个题感觉能用凑微分法,但是做不出来 分部积分法的话 不知道从哪下手
芊同学
就是凑微分的哈
既然已经确定获胜方在结束句获胜,那么概率就为1啊 为什么还要...
老师,我想问从红线开始,之后的步骤都是怎么来的呢?...
老师您好,请问sin这个地方是怎么换出来的呢...
老师好,这是2012年数三的题目,第10题,我再算了一遍,结...
老师,这个第九题为什么还给了X的概率密度?X不是标准正太分布...
老师这个第二问能用卷积公式吗??是怎么做的?...
老师请问数三的范围是什么?麻烦详尽一些,数一数二才需要考的内...
老师您好 我想问一下第七题 这里写的一阶微分的不变性指的是什...
老师好,看看我哪里错了,讲课老师给的答案最后一步有一个tan...
老师您好 第五六题该怎么看,为什么第六题最后一项分子不是Cx...

北京航空航天大学法语二外2023年考研复试大纲已经发布,包含了考试范围、考试要求、考试形式、试卷结构等重要信息,对考生具有重大的参考意义。


工学考研复试一般有哪些内容?23考研复试在即,报考工学相关专业的同学们是否对复试内容已经清楚、了解了呢?高顿小编在这里为大家整理了工学考研复试的内容,具体如下:


教师回复: 是这么理解的:正项级数收敛就意味着它们加起来是等于一个常数的,而偶(奇)数项只是正项级数的一部分,那么它们加起来肯定也是一个常数,所以是收敛的。严格的证明需要按照正项级数收敛的定义,用单调有界定理来证明。
教师回复: 可以按照这个来理解因为AB=0,所以矩阵B的列向量都是线性方程组AX=0的解;则矩阵B的列向量组的秩,不大于方程组AX=0的基础解系的个数,也就是说矩阵B的列向量组可以由AX=0 的基础解系线性表示,所以R(B) <= n-R(A),故R(A)+R(B)小于等于n。
教师回复: 这里应该套用的是ln1+x的公式,因为x趋于0的,然后可以把-x带入
教师回复: 这是个感叹句,使用了倒装,顺过来说是 a day makes a difference. 某一天产生了重要的作用/ 某一天发生了一个变化。 用感叹语气,则是 某一天产生了多么大变化啊!(某一天和平时非常不一样);翻译则调整表达为: 多么与众不同的一天啊! 多么特别的一天啊!
教师回复: x趋于0,cosx的极限是1,所以ln(cosx)=ln(1-1+cosx),等价无穷小为-1+cosx,也就是等价无穷小为-1/2 x^2