Copyright © 2006-2022 高顿教育, All Rights Reserved. 网站地图
第10题划线部分是怎么得到的
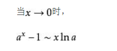
李同学这里利用的等价无穷小替换,如图

(6)不知道泰勒公式怎么展开推出第三个等号后面的式子...
老师请问这两题的可逆线性变换是什么意思呢?解题思路是什么,没...
如图,望老师解答...
第七题r(A)等于2为什么α1和α2就线性无关了?...
老师您好,莱布尼茨公式求高阶导数有点疑问 ...
讲义16页这道题的解法和老师的不一样,哪里错了呢?...
老师您好,我想问一下这道题的详细解答过程,谢谢您...
老师,想问一下,为什么 g(x) 不等于0,可以推出 c1,...
第三怎么写,啥是区间在线公式...
第七题为什么不能直接算出等于π/2而是求导呢?...

艺术学考研复试分数线是多少?22年艺术学复试分数线是361,不同学校的分数线会有所不同,想报考艺术学专业的同学可以看看报考院校给出的往年复试分数线,学姐也整理了近五年艺术学的国家分数线,希望可以给大家一些参考。 一、什么是艺术学? 所谓艺术学,通常意义上是指研究艺术整体的科学,即艺术学,是指系统性的研究关于艺术的各种问题的科学。进一步讲,艺术学是研究艺术性质、目的、作用任务和方法,它是带有理论性和学术性的成为有系统知识的人文科学。她包含美术学、设计学、音乐学、戏剧学、电影学、舞蹈学等专业。 二、艺术学考研国家线汇总(一区) 年份 学硕/专硕 一区/二区 门类/专业 总分 满分=100 满分100 2022 学术学位 一区 艺术学 361 40 60 2021 学术学位 一区 艺术学 346 38 57 2020 学术学位 一区 艺术学 347 38 57 2019 学术学

首先需要了解一下自己专业历年的考研情况,包括难度,上线率,各个心仪学校的专业课考试科目,题型等等。19级开学就大三了,专业课的学习也进入重点阶段,需要兼顾。

综合能力考试是为高等院校和科研院所招收管理类专业学位硕士研究生而设置的具有选拔性质的全国联考科目,其目的是科学、公平、有效地测试考生是否具备攻读专业学位所必须的基本素质、一般能力和培养潜能,评价的标准是高等学校本科毕业生所能达到的及格或及格以上的水平,以利于各高等院校和科研院所在专业上择优选拔,确保专业学位硕士研究生的招生质量。

中国医药工业研究总院2023年考研自命题科目考试大纲已经发布,各位同学注意及时关注相关信息。

中国艺术研究院在职研究生报考条件有多项内容。中国艺术研究院在职研究生是很多艺术领域在职人士报考的选择,在业界有着较大影响力,下面就让小编为大家介绍中国艺术研究院在职研究生报考条件吧。
教师回复: 可以按照这个来理解因为AB=0,所以矩阵B的列向量都是线性方程组AX=0的解;则矩阵B的列向量组的秩,不大于方程组AX=0的基础解系的个数,也就是说矩阵B的列向量组可以由AX=0 的基础解系线性表示,所以R(B) <= n-R(A),故R(A)+R(B)小于等于n。
教师回复: 是这么理解的:正项级数收敛就意味着它们加起来是等于一个常数的,而偶(奇)数项只是正项级数的一部分,那么它们加起来肯定也是一个常数,所以是收敛的。严格的证明需要按照正项级数收敛的定义,用单调有界定理来证明。
教师回复: 这里应该套用的是ln1+x的公式,因为x趋于0的,然后可以把-x带入
教师回复: 这是个感叹句,使用了倒装,顺过来说是 a day makes a difference. 某一天产生了重要的作用/ 某一天发生了一个变化。 用感叹语气,则是 某一天产生了多么大变化啊!(某一天和平时非常不一样);翻译则调整表达为: 多么与众不同的一天啊! 多么特别的一天啊!
教师回复: x趋于0,cosx的极限是1,所以ln(cosx)=ln(1-1+cosx),等价无穷小为-1+cosx,也就是等价无穷小为-1/2 x^2