Copyright © 2006-2023 高顿教育, All Rights Reserved. 网站地图
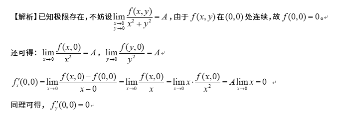
f'x和f'y为什么等于0
b同学同学你好,如图所示。

最后一步为什么不是n分之(结果)...
老师,这一步计算没弄明白...
老师 高阶求导 我直接套书上给的公式可以吗,自己去推对于我来...
老师好,问下12题的积分上下限是怎么确定的?为什么这么分啊?...
老师,我想问下我这个蓝色画圈这里不是不能为0吗?还有就是怎么...
最后的微分方程咋解的...
老师我不明白为啥sinx可以展开成x+0(x)书上66页也没...
老师,这题我如果按照图一的方法算,可不可以不用写成tan的结...
老师,想问一下,在计算斜渐近线时,如果计算的趋于正无穷和负无...
请问这个“取老大”的标准是什么 ,展开至系数不相同的最低项后...

2023年教育管理在职研究生分数线!2023年报考年教育管理在职研究生的学员已经可以查询自己的初试成绩了,与此同时,大家也都很关心2023年教育管理专业的考研国家线,以及各个学校院线是否公布,2023年教育管理国家线预计在3月10日或3月17日公布,小编在本文为大家整理了历年的分数线信息,供大家提前参考。

2023年统计学在职研究生分数线!2023年报考年统计学在职研究生的学员已经可以查询自己的初试成绩了,与此同时,大家也都很关心年统计学专业的考研国家线,以及各个学校院线是否公布,2023年年统计学国家线预计在3月10日或3月17日公布,小编在本文为大家整理了历年的分数线信息,供大家提前参考。

2023年国际贸易在职研究生分数线!2023年报考年国际贸易在职研究生的学员已经可以查询自己的初试成绩了,与此同时,大家也都很关心年国际贸易专业的考研国家线,以及各个学校院线是否公布,2023年年国际贸易国家线预计在3月10日或3月17日公布,小编在本文为大家整理了历年的分数线信息,供大家提前参考。

2023华东政法大学考研成绩复核公告发布!报考华东政法大学的同学们赶紧看过来,这里是高顿小编整理的有关2023华东政法大学考研成绩复核公告的内容,含成绩查询。

2023华东师范大学考研成绩复核公告已出!其中具体内容有哪些?快来看看高顿小编整理的有关2023华东师范大学考研成绩复核的信息,希望能对大家有所参考。
教师回复: 是这么理解的:正项级数收敛就意味着它们加起来是等于一个常数的,而偶(奇)数项只是正项级数的一部分,那么它们加起来肯定也是一个常数,所以是收敛的。严格的证明需要按照正项级数收敛的定义,用单调有界定理来证明。
教师回复: 可以按照这个来理解因为AB=0,所以矩阵B的列向量都是线性方程组AX=0的解;则矩阵B的列向量组的秩,不大于方程组AX=0的基础解系的个数,也就是说矩阵B的列向量组可以由AX=0 的基础解系线性表示,所以R(B) <= n-R(A),故R(A)+R(B)小于等于n。
教师回复: 这里应该套用的是ln1+x的公式,因为x趋于0的,然后可以把-x带入
教师回复: 这是个感叹句,使用了倒装,顺过来说是 a day makes a difference. 某一天产生了重要的作用/ 某一天发生了一个变化。 用感叹语气,则是 某一天产生了多么大变化啊!(某一天和平时非常不一样);翻译则调整表达为: 多么与众不同的一天啊! 多么特别的一天啊!
教师回复: x趋于0,cosx的极限是1,所以ln(cosx)=ln(1-1+cosx),等价无穷小为-1+cosx,也就是等价无穷小为-1/2 x^2