Copyright © 2006-2023 高顿教育, All Rights Reserved. 网站地图
等下,是我哪算错了么?我咋0—2/π算是大于0
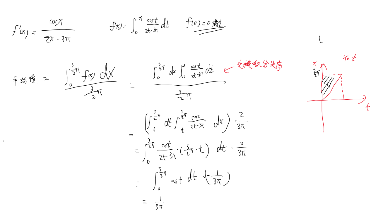
刘同学我都没看懂你在算啥……这题的一种巧妙解法如下图,可以学习下


最后一步为什么不是n分之(结果)...
老师,这一步计算没弄明白...
老师 高阶求导 我直接套书上给的公式可以吗,自己去推对于我来...
老师好,问下12题的积分上下限是怎么确定的?为什么这么分啊?...
老师,我想问下我这个蓝色画圈这里不是不能为0吗?还有就是怎么...
最后的微分方程咋解的...
老师我不明白为啥sinx可以展开成x+0(x)书上66页也没...
老师,这题我如果按照图一的方法算,可不可以不用写成tan的结...
老师,想问一下,在计算斜渐近线时,如果计算的趋于正无穷和负无...
请问这个“取老大”的标准是什么 ,展开至系数不相同的最低项后...

2023年广西民族大学MBA初试成绩什么时候公布?如何查询初试成绩?12月举行的研究生考试已经过去一个月,很多同学都十分关心自己的成绩如何。目前2023年各大高校的MBA初试成绩公布时间暂未定,2022年广西民族大学研究生入学考试初试成绩公布时间为2022年2月21日。小编在下文整理了2023年广西民族大学MBA在职研究生的初试成绩查询时间以及查询方式等信息,想要了解的小伙伴们赶紧来看看吧!

研究生包括全日制和在职两种学习形式,全日制即全脱产上课,在职即以在职人员的身份,部分时间参加工作,部分时间根据安排上课。两者除上课时间有区别外,对于考生的要求也存在区别。接下来小编为大家重点介绍毕业之后工作几年可以考研究生:

2023中国刑事警察学院公安情报学考研复试大纲最新发布!为了让报考公安学专业公安情报学方向硕士研究生的同学们对于考试大纲能有更深入的了解,高顿小编整理了2023中国刑事警察学院公安情报学考研复试大纲的具体内容,一起来看看吧!

2022中国刑事警察学院考研复试分数线对备战2023考研的同学们有很大的参考意义。所以深入了解中国刑事警察学院2022考研复试分数线有关内容是很有必要的。在此,高顿小编整理了2022中国刑事警察学院考研复试分数线的详细内容,具体如下:

了解心仪院校往年的考研复试分数线是考研人需要重点关注的事情之一,各位报考沈阳药科大学的同学们,如果你对沈阳药科大学2022考研复试分数线的情况还不清楚,那就快来看看高顿小编为大家整理的2022沈阳药科大学考研复试分数线的有关内容吧。
教师回复: 是这么理解的:正项级数收敛就意味着它们加起来是等于一个常数的,而偶(奇)数项只是正项级数的一部分,那么它们加起来肯定也是一个常数,所以是收敛的。严格的证明需要按照正项级数收敛的定义,用单调有界定理来证明。
教师回复: 可以按照这个来理解因为AB=0,所以矩阵B的列向量都是线性方程组AX=0的解;则矩阵B的列向量组的秩,不大于方程组AX=0的基础解系的个数,也就是说矩阵B的列向量组可以由AX=0 的基础解系线性表示,所以R(B) <= n-R(A),故R(A)+R(B)小于等于n。
教师回复: 这里应该套用的是ln1+x的公式,因为x趋于0的,然后可以把-x带入
教师回复: 这是个感叹句,使用了倒装,顺过来说是 a day makes a difference. 某一天产生了重要的作用/ 某一天发生了一个变化。 用感叹语气,则是 某一天产生了多么大变化啊!(某一天和平时非常不一样);翻译则调整表达为: 多么与众不同的一天啊! 多么特别的一天啊!
教师回复: x趋于0,cosx的极限是1,所以ln(cosx)=ln(1-1+cosx),等价无穷小为-1+cosx,也就是等价无穷小为-1/2 x^2