Copyright © 2006-2022 高顿教育, All Rights Reserved. 网站地图
f(z+1)+f(z)+f(z-1)怎么等于1的?
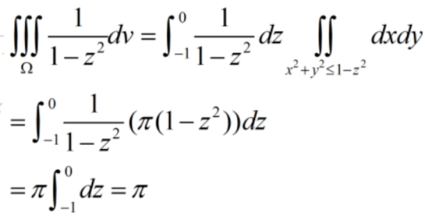
周同学你好,能把题目附上我看一下吗

为什么x0,不是x<1...
为什么先取对数再求导算出来的结果是错的?...
为什么改题用取对数求导算出来的结果和化为指数函数形式再求导得...
老师 为什么 分子趋向于0时 分母也趋向于0呢...
第一题的第二题和第五题,第二题,tanx的定义域怎么变成ta...
老师您好,我的问题是:考研数学讲义高等数学基础第73页例4....
题目答案如图一图二(有tanx)。我的答案如图三(没写tan...
老师,为什么y求二阶导后就可以得出是分段函数? 不是很懂...
展开时为什么cosx是从0开始而ln(1+x)从1开始呢...
老师,看我红笔写的,有问题吗,我咋感觉没有问题,但是答案对不...

对于考研科目的问题,很多刚开始准备考研的同学可能并不太清楚。为了节省大家宝贵的复习时间,高顿小编整理好了预防医学考研科目的有关内容,感兴趣的同学们快来看看吧!

狱警能考研,推荐院校有国际关系学院、上海海关学院、中国人民警察大学、中国人民公安大学、中国人民解放军空军预警学院等,下面是详细介绍,快来看看吧!

幼儿教师是教师队伍中不可忽略的重要力量。她们主要以女性教育者为主,负责教育学龄前儿童也就是幼儿。幼儿教师主要对幼儿进行启蒙教育帮助他们获得有益的学习经验,促进其身心全面和谐发展。幼儿教师在教育过程中的角色决不仅仅是知识的传递者,而且是幼儿学习活动的支持者、合作者、引导者。如果幼儿教师考研,那么他们可以考什么专业?一起来看看高顿小编整理的幼儿教师考研专业的有关内容。


教师回复: 是这么理解的:正项级数收敛就意味着它们加起来是等于一个常数的,而偶(奇)数项只是正项级数的一部分,那么它们加起来肯定也是一个常数,所以是收敛的。严格的证明需要按照正项级数收敛的定义,用单调有界定理来证明。
教师回复: 可以按照这个来理解因为AB=0,所以矩阵B的列向量都是线性方程组AX=0的解;则矩阵B的列向量组的秩,不大于方程组AX=0的基础解系的个数,也就是说矩阵B的列向量组可以由AX=0 的基础解系线性表示,所以R(B) <= n-R(A),故R(A)+R(B)小于等于n。
教师回复: 这里应该套用的是ln1+x的公式,因为x趋于0的,然后可以把-x带入
教师回复: 这是个感叹句,使用了倒装,顺过来说是 a day makes a difference. 某一天产生了重要的作用/ 某一天发生了一个变化。 用感叹语气,则是 某一天产生了多么大变化啊!(某一天和平时非常不一样);翻译则调整表达为: 多么与众不同的一天啊! 多么特别的一天啊!
教师回复: x趋于0,cosx的极限是1,所以ln(cosx)=ln(1-1+cosx),等价无穷小为-1+cosx,也就是等价无穷小为-1/2 x^2