Copyright © 2006-2022 高顿教育, All Rights Reserved. 网站地图
老师我们一轮好像没讲过伽马可以说需要掌握什么吗说嘛
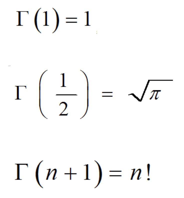
s同学需要掌握伽马函数在取自然数和取1/2时的函数值

为什么x0,不是x<1...
为什么先取对数再求导算出来的结果是错的?...
为什么改题用取对数求导算出来的结果和化为指数函数形式再求导得...
老师 为什么 分子趋向于0时 分母也趋向于0呢...
第一题的第二题和第五题,第二题,tanx的定义域怎么变成ta...
老师您好,我的问题是:考研数学讲义高等数学基础第73页例4....
题目答案如图一图二(有tanx)。我的答案如图三(没写tan...
老师,为什么y求二阶导后就可以得出是分段函数? 不是很懂...
展开时为什么cosx是从0开始而ln(1+x)从1开始呢...
老师,看我红笔写的,有问题吗,我咋感觉没有问题,但是答案对不...

对重庆理工大学“退役大学生士兵”专项计划硕士研究生感兴趣的同学,想了解其具体的报名要求,那就来看看高顿小编整理的2023重庆理工大学“退役大学生士兵”专项计划考研报名要求的相关内容,具体如下:

2022浙江大学考研复试分数线已经公布,这是考生们参考的重要信息之一。其中最高分为经济学395分,最低分为工商管理180分。为了大家更好的了解该院校,小编为大家整理了2022浙江大学考研复试分数线的详细内容,一起来看看吧。

2022中国地质大学(北京)考研复试分数线已经公布,这是考研学生们参考的重要信息之一。其中2022中国地质大学(北京)最高分数线为设计学和艺术设计380分。为了大家更好的了解该学校,小编为大家整理了2022中国地质大学(北京)考研复试分数线的详细内容,一起来看看吧。

2022长沙理工大学考研复试分数线已经公布,这是考生们参考的重要信息之一。其中会计专硕的复试分数线为200分。为了大家更好的了解该院校,小编为大家整理了2022长沙理工大学考研复试分数线的详细内容,一起来看看吧。

2022中国海洋大学考研复试分数线已经公布,这是考生们参考的重要信息之一。其中最低分数线为260分。为了大家更好的了解该院校,小编为大家整理了2022中国海洋大学考研复试分数线的详细内容,一起来看看吧。
教师回复: 可以按照这个来理解因为AB=0,所以矩阵B的列向量都是线性方程组AX=0的解;则矩阵B的列向量组的秩,不大于方程组AX=0的基础解系的个数,也就是说矩阵B的列向量组可以由AX=0 的基础解系线性表示,所以R(B) <= n-R(A),故R(A)+R(B)小于等于n。
教师回复: 是这么理解的:正项级数收敛就意味着它们加起来是等于一个常数的,而偶(奇)数项只是正项级数的一部分,那么它们加起来肯定也是一个常数,所以是收敛的。严格的证明需要按照正项级数收敛的定义,用单调有界定理来证明。
教师回复: 这里应该套用的是ln1+x的公式,因为x趋于0的,然后可以把-x带入
教师回复: 这是个感叹句,使用了倒装,顺过来说是 a day makes a difference. 某一天产生了重要的作用/ 某一天发生了一个变化。 用感叹语气,则是 某一天产生了多么大变化啊!(某一天和平时非常不一样);翻译则调整表达为: 多么与众不同的一天啊! 多么特别的一天啊!
教师回复: x趋于0,cosx的极限是1,所以ln(cosx)=ln(1-1+cosx),等价无穷小为-1+cosx,也就是等价无穷小为-1/2 x^2