记不住的计算公式怎么去推导?

老师,记不住公式怎么去推导?总是记不住公式

伐同学
2021-12-29 14:35:05
阅读量 335
  • 老师 高顿财经研究院老师
    高顿为您提供一对一解答服务,关于记不住的计算公式怎么去推导?我的回答如下:

    同学你好呀! 

    边际贡献=销售收入-变动成本总额

    单位边际贡献=(销售收入-变动成本总额)/销售量=单价-单位变动成本

    边际贡献率=(单价-单位变动成本)/单价=1-单位变动成本/单价

    利润=边际贡献-固定成本=销售收入-变动成本总额-固定成本

    其中,边际贡献=销售收入×边际贡献率,固定成本=盈亏平衡点的销售额×边际贡献率

    得,利润=销售收入×边际贡献率-盈亏平衡点的销售额×边际贡献率=安全边际额×边际贡献率

     

    安全边际率=安全边际量/销售量,盈亏平衡作业率=盈亏平衡点的业务量/销售量

    盈亏平衡作业率+安全边际率=(盈亏平衡点的业务量+安全边际量)/销售量=1

     

    希望老师的回答能够帮到你,继续加油哦!


    以上是关于公式,计算公式相关问题的解答,希望对你有所帮助,如有其它疑问想快速被解答可在线咨询或添加老师微信。
    2021-12-29 14:43:03
  • 收起
    伐同学学员追问
    安全边际率,变动成本率,边际贡献率的概念有点混淆
    2021-12-30 07:12:12
  • 老师 高顿财经研究院老师

    变动成本率是变动成本与销售收入的比。边际贡献率是边际贡献与销售收入的比,安全边际率是安全边际与销售收入的比。三者分母都是销售收入

    2021-12-30 09:25:03
加载更多
版权声明:本问答内容由高顿学员及老师原创,任何个人和或机构在未经过同意的情况下,不得擅自转载或大段引用用于商业用途!部分内容由用户自主上传,未做人工编辑处理,也不承担相关法律责任,如果您发现有涉嫌版权的内容,欢迎提供相关证据并反馈至邮箱:fankui@gaodun.com ,工作人员会在4个工作日回复,一经查实,本站将立刻删除涉嫌侵权内容。

其他回答

  • 淡同学
    协方差计算公式怎么推导的
    • 崔老师
      假设c是常数,xy是随机变量,那么数学期望e有以下的一些性质e(c)=ce(x+c)=e(x)+ce(cx)=ce(x)e(x+y)=e(x)+e(y)所以e{[x-e(x)]}{[y-e(y)]}=e{xy-xe(y)-ye(x)+e(x)e(y)}=e(xy)-e(x)e(y)-e(x)e(y)+e(x)e(y)=e(xy)-e(x)e(y)
  • e同学
    协方差计算公式怎么推导的
    • 任老师

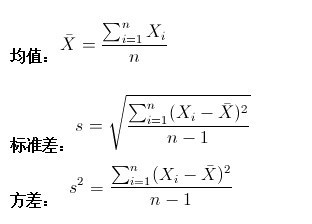
      均值描述的是样本集合的中间点,它告诉我们的信息是很有限的,而标准差给我们描述的则是样本集合的各个样本点到均值的距离之平均。以这两个集合为例,[0,8,12,20]和[8,9,11,12],两个集合的均值都是10,但显然两个集合差别是很大的,计算两者的标准差,前者是8.3,后者是1.8,显然后者较为集中,故其标准差小一些,标准差描述的就是这种“散布度”。之所以除以n-1而不是除以n,是因为这样能使我们以较小的样本集更好的逼近总体的标准差,即统计上所谓的“无偏估计”。而方差则仅仅是标准差的平方。

  • E同学
    助我!!税率计算公式是怎么推导出来的?
    • 薛老师
      建筑业营业税及其附加计税依据和税率如下:
      1、营业税=工程收入×3%
      2、城建税=营业税额×7%(城市)
      3、教育费附加=营业税额×3%

      而施工企业工程收入=工程造价+税金+合理利润
      税金=工程收入税率(1+7%+3%)
      因此,按照工程造价计税,其计算公式为:
      税率={1÷[1-3%×(1+7%+3%)]-1}×100%≈3.41%
      (其实是3.4126%,约等于3.41%)
相关问题 相关文章 其他人都在看
  • 年终奖个税公式是什么

    年终奖个税公式关乎到大家在年底的时候能拿到多少年终奖,那么,年终奖个税公式是什么?下面茶茶学姐就来详细介绍相关内容,大家可以参考。

    2023-06-15 13:36:23
  • 中级会计职称机考公式输入方法

    中级会计职称考试形式为无纸化机考,由于财务管理考试科目需要考生在计算机上输入公式和符号进行考试题目的作答,因此考生需要掌握中级会计职称机考计算公式的输入方法。为了促进大家高效备考,高顿小编总结了机考公式的输入方法一起看看吧!

    2023-06-14 15:20:31
  • 增值率计算公式是什么

    增值率=增值税/(销售额–进项税额)。其中,销售额指的是企业销售商品或提供服务所得的全部收入,进项税额指的是企业在购买原材料、劳务和固定资产等方面支付的增值税。

    2023-06-14 10:44:09
  • 稿酬个人所得税计算公式是怎样的

    稿酬所得,是指个人因其作品以图书、报刊形式出版、发表而取得的所得。 稿酬个人所得税计算公式: 居民个人取得稿酬所得: 应纳税额=全年应纳税所得额适用税率-速算扣除数=(全年收入额-60000元-专项扣除-享受的专项附加扣除-享受的其他扣除)适用税率-速算扣除数 非居民个人取得稿酬所得: 应纳税所得额=收入(1-20%)70%。 稿酬所得应预扣预缴税额=预扣预缴应纳税所得额(收入额)20% 以上就是【稿酬个人所得税计算公式是怎样的】的全部内容,想要了解更多 注会考试资讯 ,欢迎前往 高顿CPA网站首页 ! 添加老师微信 获取更多注会备考资源 相关阅读 应交多少增值税的公式是怎样 高新技术企业认定审计有哪些

    2023-06-14 09:16:46
  • 杜邦分析法公式是怎样的?

    杜邦分析法是一种用来评价公司盈利能力和股东权益回报水平,从财务角度评价企业绩效的一种经典方法,利用几种主要的财务比率之间的关系来综合地分析企业的财务状况,这种分析方法最早由美国杜邦公司使用,故名杜邦分析法。其基本思想是将企业净资产收益率逐级分解为多项财务比率乘积,这样有助于深入分析比较企业经营业绩。杜邦分析体系杜邦体系的核心公式:权益净利率=资产净利率×权益乘数

    2023-06-13 16:49:31
精选问答
  • 在中级会计中,F/A、F/P、P/F、P/A分别是什么?

    教师回复: 同学你好:F/A-年金终值F/P-复利终值P/F-复利现值P/A-年金现值值老师分析一个记忆的技巧,先看第一个字母判断是求现值和终值:F代表终值,P代表现值,再看第二个字母,看是复利还是年金,A代表年金,F或P代表复利(这里特殊,当第一字母是F,则用P表示;当第一个字母是P,则用F表示)。 希望老师的回复可以帮助到你,还有不明白的地方,及时跟老师沟通哟~祝学习顺利~~~

  • 通货膨胀为什么引起市场利率的上升啊?

    教师回复: 勤奋努力的新海同学,你好~~通货膨胀指的是在货币流通的情况下,货币供给远超过货币实际需求,导致货币贬值,引起了物价上涨的现象,这种现象就是通货膨胀。所以也就是说市场中流通的货币太多了,会导致物价上涨,居民生活水平大幅下降等,所以为了抑制通货膨胀,促使社会经济良性发展,央行就会提高利率,因为利率提高,人们就会把钱存进银行,这样市场上流通的货币就会减少,这样货币就会升值~~老师这样解答同学可以理解嘛~~如果还有问题还可以跟老师继续沟通交流哈~~继续加油噢~~ෆ ͒•∘̬• ͒

  • 其他权益工具投资和其他权益工具有什么区别?

    教师回复: 爱思考的同学你好~其他权益工具投资是资产类科目,其他权益工具是所有者权益类科目。简单理解就是,其他权益工具投资是我们买的别人家的股票(非交易性,不是为了通过买卖获得价差),其他权益工具就是我们发行的股票(除了普通股,例如优先股)希望以上解答能帮助到你,欢迎随时提问~加油

  • 怎么计算投资组合的标准差呢?标准差的计算公式是什么呢

    教师回复: 爱学习的同学你好哦~投资组合的标准差=(0.12*80%)^2+(0.2*20%)^2+2*80%*20%*0.2*0.12*0.2。同学可以根据老师的计算器步骤按一下一步到位。也可以单独先算出三项的值,然后再相加,求和之后再开根号。继续加油哈~

  • 交易性金融资产的公允价值变动损益为什么现在不用结转到投资收益?

    教师回复: 勤奋的同学你好呀。——————1、新金融工具准则变更,所以出售交易性金融资产无需将公允价值变动损益转为投资收益。2、投资的收益是最终卖出减最初买入。新金融准则下,对于交易性金融资产,其持有期间的“公允价值变动损益”视为已经实现,出售时无需再次结转入当期损益(投资收益)。——————祝学习愉快~

我也要提问老师
手机注册
选择感兴趣的项目,找到您想看的问答
金融类
ACCA
证券从业
银行从业
期货从业
税务师
资产评估师
基金从业
国内证书
CPA
会计从业
初级会计职称
中级会计职称
中级经济师
初级经济师
其它
考研